Estados Unidos dio un nuevo giro a su política energética hacia Cuba al anunciar que permitirá la reventa de petróleo venezolano al sector privado cubano, siempre que sea para fines “comerciales y humanitarios”.
La medida, comunicada por la Oficina de Control de Activos Extranjeros (OFAC, por sus siglas en inglés), representa el alivio más reciente dentro del bloqueo energético impuesto a la isla tras la captura de Nicolás Maduro el pasado 3 de enero en Caracas.
LEA TAMBIÉN: SECRETARIO DE ENERGÍA DE EEUU REVELÓ ‘PLAN‘ DE TRUMP PARA REDUCIR LA CRIMINALIDAD EN VENEZUELA
Desde entonces, Washington había cortado por completo el suministro de petróleo venezolano a Cuba, lo que profundizó la crisis en servicios esenciales como el transporte, electricidad y atención médica.
El nuevo esquema funcionará mediante un sistema de licencias otorgadas por EEUU, que autorizará a empresas o actores privados a revender petróleo venezolano a «compradores privados» en Cuba.
¿POR QUÉ SOLO A COMPRADORES PRIVADOS?
Según la OFAC, esta política está diseñada para “apoyar al pueblo cubano”, especialmente a los emprendimientos y actividades económicas no estatales, que han crecido en los últimos años pese a las restricciones internas y externas.
La flexibilización busca aliviar la presión sobre la población sin beneficiar al aparato estatal cubano, considerado por Washington como un aliado estratégico de Maduro, en su oportunidad, y otros enemigos de los Estados Unidos en la región.
Uno de los elementos más llamativos de la medida es que los compradores privados cubanos no necesitarán tener representación en Estados Unidos para acceder al petróleo venezolano revendido bajo licencia.
Esto elimina una barrera burocrática que históricamente ha limitado las transacciones entre actores privados cubanos y proveedores internacionales.
En teoría, esta apertura podría facilitar la llegada de combustibles a pequeños negocios, cooperativas y servicios independientes que hoy operan con severas limitaciones energéticas.
¿QUIÉNES QUEDARÁN EXCLUIDOS DE LA LICENCIA?
Sin embargo, la OFAC dejó claro que la flexibilización excluye completamente al Gobierno de Cuba y a cualquier entidad vinculada a sus fuerzas armadas, servicios de inteligencia o instituciones estatales.
«Las transacciones que involucren o beneficien a personas o entidades asociadas con las fuerzas armadas, los servicios de inteligencia u otras instituciones gubernamentales cubanas, incluidas las entidades que figuran en la Lista de Restricciones de Cuba del Departamento de Estado de Estados Unidos, no estarán cubiertas por esta política de concesión de licencias», reza parte del comunicado.
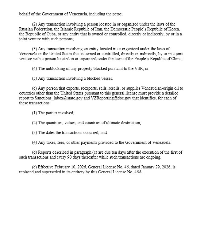
El anuncio se produce en un contexto en el que Estados Unidos controla las exportaciones petroleras de Venezuela, tras un acuerdo alcanzado con las autoridades interinas encabezadas por Delcy Rodríguez.
Según el presidente de los Estados Unidos, Donald Trump, EEUU ha recibido más de 80 millones de barriles de crudo venezolano en menos de dos meses, los cuales revende en mercados internacionales mientras administra las ganancias venezolanas.
Paralelamente, Caracas modificó su legislación energética (Ley de Hidrocarburos) para alinearse con las exigencias de Washington, lo que permitió la emisión de la Licencia General 46A, que regula las operaciones petroleras entre ambos países.


